FA

FARP/BP-2A

Photo.M18,PNP-NO+NC,Cable,Reflex
Photoelectric sensor M18 90° Polarized 2,5 m PNP NO+NC plast. cable 2m axial

M18 photoelectric sensors DC

Overview

  • Complete range of M18 sensors with 10...30 Vdc power supply
  • Axial and radial optic with flat surface
  • Retro-reflective models for transparent objects detection, with red emission IP67 protection degree
  • Metallic or plastic housing
  • Sensitivity adjustment available for all models
  • Total protection against any type of electric damages
  • Approvals: CE and cULus listed

Technical Features

Detection properties
Nominal sensing distance 2,5m
Thermal drift of Sr ≤10% Sr
Repeat Accuracy 5%
Sensitivity adjustment No
Application
Function Principle Polarized
Notes On RL110 reflector
Optic position Radial 90°
Outputs
Output type PNP NO+NC
Output Function NO+NC
Switching frequency 250Hz
Response time 2ms
Electrical data
Operating Voltage 10…30VDC
No-Load supply current ≤ 30mA
Load current ≤100mA
Leakage current ≤10μA
Output voltage drop ≤2V@Iload=100mA
Max ripple content ≤10%
LED indicators Yellow (Lon) or output status Lo/Do
Time delay before availability ≤200ms
Short-circuit protection Short circuit (autoreset), Overvoltage
Reverse Polarity Protection Polarity inversal, Inpulsive voltage
Emission LED Red (660nm)
Interference to external light 5000lux (incandescent lamp), 10000lux (sunlight)
Mechanical data
Dimensions M18 x 1/L=78,5mm
Weight 50g
Housing Material PBT/ PC cable exit
Connections 2m PVC cable
Active Head Material PMMA
Tightening torque 1Nm
Operating temperature - 25°C…+ 70° C (Without freeze)
Diameter/Dimension M18
Test/Approvals
Approvals CE cULus
EMC compatibility EN 60947-5-2
Shocks and vibrations Vibration IEC 60068-2-6 / Shock IEC 60068-2-27
Degree of protection IP67
Accessories
Supplied Accessories nuts M18 x 1
Generical Data
Dimensions M18 x 1/L=78,5mm
Operating Temperature - 25°C…+ 70°C (Without freeze)
Mechanical Protection IP67

Connections

Eletrical diagram

Others

Dimensions
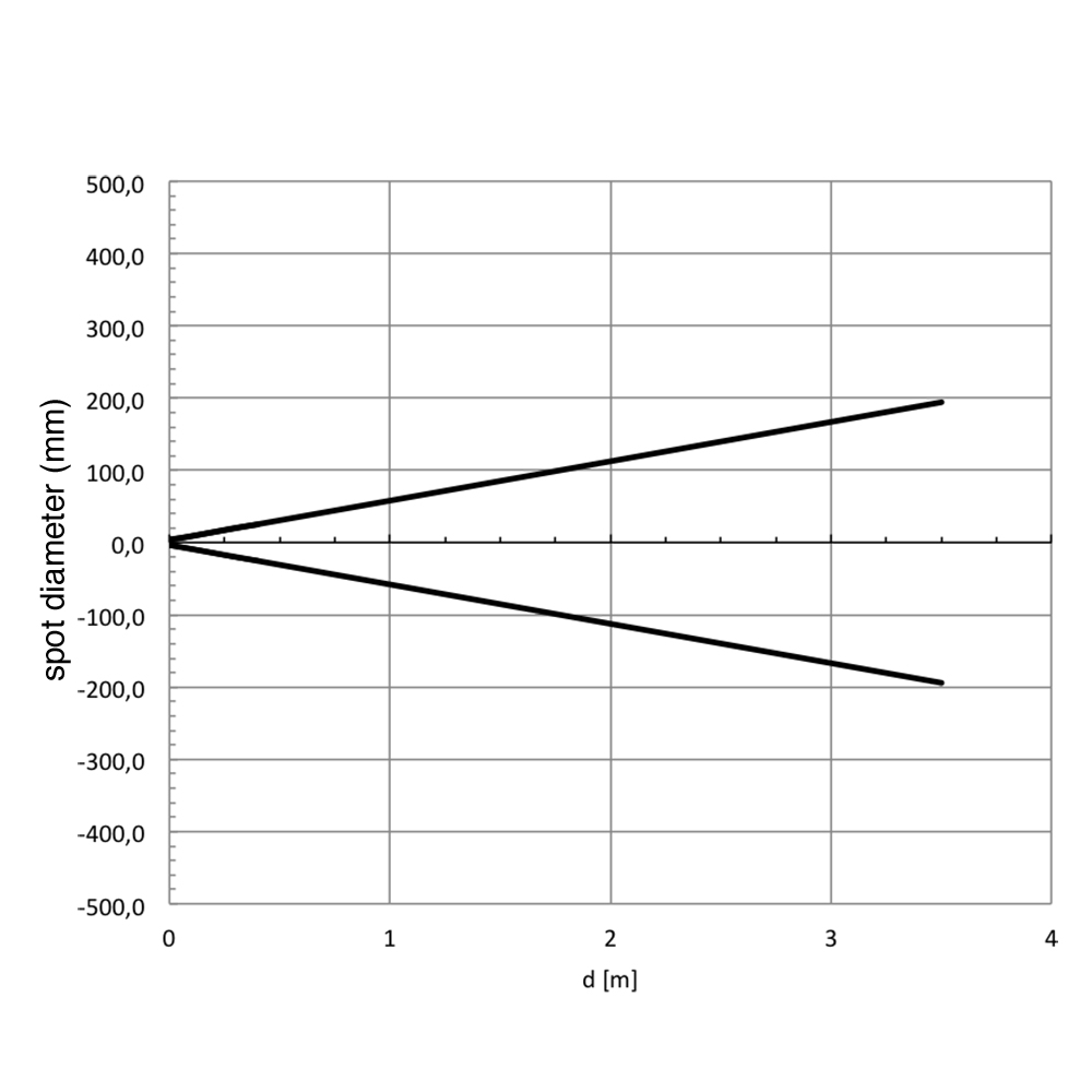
Response curves

Downloads for FARP/BP-2A